728x90
반응형
샤핑
지훈심 / 주로 IT 강의를 진행하는 공간입니다 ㅋㅋ 비즈니스 문의(프로그래밍 외주, 강연 등) 및 기타 질문은 아래의 이메일 참고 바랍니다. spg1101@naver.com
www.youtube.com

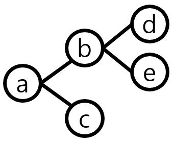
이번 시간에는 DFS와 BFS의 원리를 살펴보고 비교해보겠습니다. 위의 그래프를 가지고 설명하겠습니다.


DFS (깊이 우선 탐색, Depth First Search)
- "막힐 때까지 나아간다" 라고 이해하시면 됩니다.
- 막힐 때까지 계속 접근하다가 막히면(접근할 노드가 더 이상 없으면) 한 발짝만 되돌아간 후 접근하지 않은 노드로 접근합니다.
BFS (너비 우선 탐색, Breadth First Search)
- "주위를 둘러본다" 라고 이해하시면 됩니다.
- 주위를 둘러보다가 더 이상 없으면 한 발짝만 접근한 후 다시 주위를 둘러봅니다.
(1) DFS의 구체적인 동작 원리는 아래와 같습니다. 막힐 때까지 계속 나아가는 모습을 볼 수 있습니다. 접근 순서는 (a)-(b)-(d)-(e)-(c) 입니다.





(2) BFS의 구체적인 동작 원리는 아래와 같습니다. 주위를 둘러보는 모습을 볼 수 있습니다. 접근 순서는 (a)-(b)-(c)-(d)-(e) 입니다.





[소스 코드]
https://github.com/jhs951101/DFSBFS


<출처>
나무위키: 깊이 우선 탐색
나무위키: 너비 우선 탐색
728x90
728x90
반응형
LIST
'IT강의 > 알고리즘' 카테고리의 다른 글
| 연결 리스트의 종류 (0) | 2021.07.28 |
|---|---|
| 스택과 큐의 차이 (0) | 2021.07.28 |
| 다익스트라 알고리즘 (1) - 동작 원리 (0) | 2021.07.28 |
| 크루스칼 알고리즘 (1) - 동작 원리 (0) | 2021.07.28 |
| 2018년도 정보처리기사 실기 2회 문제풀이 및 해설 - 1. 순서도 (0) | 2020.12.27 |